선생님도 시험보는 목동수학학원 추천, 2025 5월 고3 모의고사 수학 기출 분석
안녕하세요. 오늘은 목동수학학원 길벗아카데미에서 2025 5월 고3 모의고사 수학 영역 기출문제를 분석해 드리려고 합니다!
저희 기출 분석과 함께 최종적으로 수능 준비를 잘 준비할 수 있기를 바라며, 모의고사 수학 분석 시작하겠습니다~

먼저 고3 수학 모의고사 분석은 목동수학학원 길벗아카데미 수학과 정만규T께서 수고해주셨습니다.
출제 경향
5월 모의고사 출제 범위 내에서 작년 수능과 외견상 비슷한 문제들이 주로 출제되었습니다. 작년 수능과 비교하면 무난하게 출제되었으나 올해 3월 모의고사보다는 좀더 어려웠기 때문에 수험생들은 상당히 어렵게 느꼈을 수 있습니다.
출제 범위
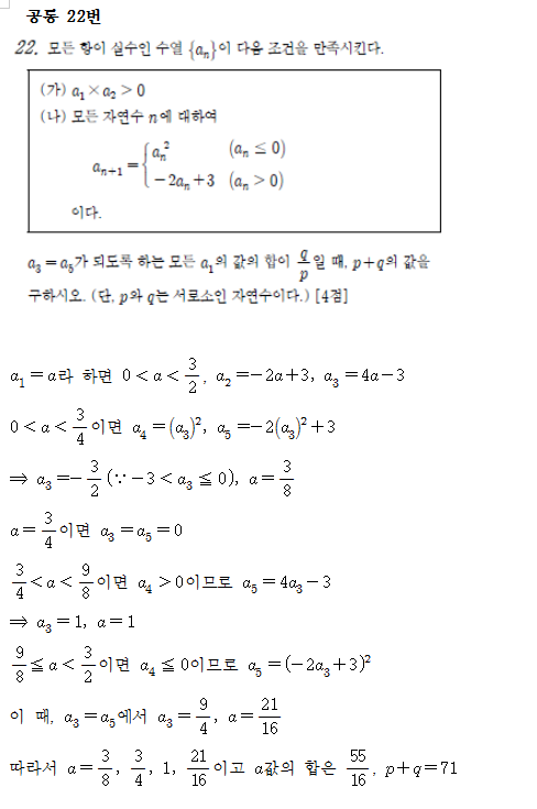
학생들이 가장 어려워한 문제
학습 대책
(1) 고난도 문제들과 틀린 문제들은 확실히 짚고 넘어가야 합니다.
(2) 선택과목 기출문제를 풀면서 수1, 수2 문제풀이 병행해야 합니다.

길벗아카데미에 대한 더 자세한 정보는 상담을 통해 알 수 있으니 언제든 연락 주세요.
GB스터디 대학생 기자 이채영
Copyright(c) Gilbutacademy. All Rights Reserved.